понедельник, 3 июля 2023 г.

Создание пастбище защитных полос в пустынях

Создание пастбище защитных полос в пустынях

Пастбищезащитные чёрносаксауловые полосы в пустыне Карнабчуль
Пастбищезащитные чёрносаксауловые полосы в пустыне Карнабчуль (урочище Ярмачи), возраст 7 лет

В повышении урожайности пустынных пастбищ немаловажную роль могут сыграть создание пастбище защитных полос. Создание пастбище защитных полос является эффективным методом по улучшению природных пастбищ в зоне каракулеводства. Для создания пастбище защитных полос используют крупные кустарники, преимущественно саксаул, черкез и кандым.

 

Какой эффект от пастбище защитных полос?

 

Пастбище защитные полосы снижают скорость ветров, задерживают снег и защищают почву от дефляции, создают более мягкий микроклимат в самой полосе и на сопредельных участках пастбищ. Это в свою очередь, создает более благоприятные условия для роста и формирования относительно большого урожая пастбищных кормов. Помимо прочего, сам саксаул также считается удовлетворительным осеннее-зимним кормом для овец и верблюдов. Применение этих методов позволяет увеличить кормовой запас пастбищ в 2-3 раза. 

Рассмотрим опыт создания пастбище защитных полос из саксаула черного.

Опыт создания пастбище защитных полос проводился в зоне южных пустынь (Карнабчуль, Нишанская «степь», Юго-Западный Кызылкум). Почвы - светлые сероземы и серобурые, по гранулометрическому составу средне- и легкосуглинистые. Среднегодовая температура воздуха в пределах от +16 до -17°С, а июне-июле - от +40 до +45°С. Количество атмосферных осадков за многолетний период составляет с колебаниями от 81 до 257 мм. Относительная влажность воздуха за год в среднем на уровне 30%. Природные пастбища представлены полукустарниково-эфемеровыми, эфемероидно-эфемеровыми и солянковыми типами. Их урожайность составляет 1.5-3.0 ц/га сухой кормовой массы.

Опыты по созданию пастбищезащитных полос из саксаула чёрного закладывали в пустынных районах на участках, пригодных для произрастания саксаула чёрного. Ширина пастбищезащитных полос - 25 м. Вспашка почвы проводилась отвальная на глубину 18-20 см. Посев семян саксаула проводилась в декабре - январе, норма высева - 5 кг/га. Глубина заделки семян - 0.5-1.0 см. 

Систему чёрносаксауловых пастбищезащитных насаждений создавали в основном из продольных и поперечных полос. Продольные полосы саксаула выполняли главную защитную роль, а поперечные служили для разграничения пастбищ на выпасные участки. Пастбища, где заложены полосы из саксаула, не использовали под выпас овец в течение первых 2-х лет, а отводили под сенокосы.

 

Рост, развитие растений саксаула чёрного и формирование чёрносаксауловых пастбищезащитных полос

Рост, развитие растений саксаула чёрного и формирование чёрносаксауловых пастбищезащитных полос. Растения саксаула чёрного во всех исследуемых районах росли и развивались достаточно быстро и хорошо, хотя в условиях пустыни Карнабчуль высота, ширина кроны, толщина штамба и урожайность сухой кормовой массы были несколько выше, чем в предгорной пустыне Нишанская «степь» и в пустыне Юго-Западный Кызылкум (табл. 1).

Наблюдения показали, что в 3-4-летнем возрасте в основном формировались скелетные оси, некоторые кусты плодоносили с 3-4 лет, но, как правило, с 5 лет. В полынно-эфемеровой пустыне Карнабчуль в урочищах Планчоп, Гумбаса, Таникудук, Айтувды растения саксаула чёрного в возрасте 4-5 лет достигали высоты 2-3 м, ширина кроны составляла 1.7-2 м, при этом формировали 13.4-17.2 ц/га сухой кормовой массы, а в предгорной пустыне Нишанская «степь» в возрасте 4-5 лет саксаул чёрный вырастал до 1.5-1.7 м, при этом ширина кроны составляла 82-160 см, толщина штамба - 2.6-4.9 см, а урожай сухой кормовой массы - 15.1 ц/га (табл. 1). Саксаул чёрный, произрастающий в Юго-Западных Кызылкумах, заметно отставал в росте, и урожай сухой кормовой массы не превышал 8.5-11.5 ц/га.

В возрасте 4-5 лет саксаул чёрный, произрастающий в искусственных пастбищезащитных насаждениях, плодоносил. Однако не во всех природных зонах количество плодоносящих растений было одинаковым. В предгорной пустыне Нишанская «степь» в разных урочищах плодоносящие растения составили 36.5-77.3%, в полынно-эфемеровой пустыне Карнабчуль - 54.3-85.3, в пустыне Юго-Западный Кызылкум не превышало 13.2-32.9%.

 

Таблица 1. Показатели роста и развития саксаула чёрного в условиях производственных посевов в аридной зоне Узбекистана.

 

Показатели роста и развития саксаула чёрного в условиях производственных посевов в аридной зоне Узбекистана


 

В целом саксаул чёрный является быстрорастущим растением, достигающим в первый год жизни полуметровой, в возрасте 4-5 лет - 2-3-метровой, в возрасте 7 лет - 4-метровой высоты, и формирует полноценные пастбищные полосы (рис. 1).

 

В настоящее время отечественными (Иванов, 2011) и зарубежными (Gewin, 2010) исследователями установлено, что способность корней растений к непрерывному росту играет определяющую роль в адаптации растений к дефициту влаги. Именно этот процесс обеспечивает необходимый уровень поглощения воды и сохраняет оводненность клеток и тканей растений в условиях недостатка влаги (Gewin, 2010). Сохранить оводненность в условиях дефицита влаги растения могут только путем усиления поглощения воды корнями (Кудоярова и др., 2013). Как правило, дефицит воды приводит к относительной активизации роста корней, увеличивая тем самым поглощение ими воды (Скобелева и др., 2010).

 

Наши исследования, проведенные в пустыне Карнабчуль, показали способность саксаула чёрного к быстрому росту и формированию мощно развитой и глубоко проникающей в почву корневой системы. В пустыне Карнабчуль (урочище Ярмачи) раскопки корневых систем саксаула чёрного показали, что в первый же год жизни корни у этого древовидного кустарника при высоте надземной части 53 см проникают в почву на глубину до 235 см, распространяясь в горизонтальном направлении на 165 см. В этой же зоне нами были произведены раскопки корневых систем саксаула чёрного в начале пятого года жизни. Здесь (урочище Ярмачи) почвы светлые сероземы, легкосуглинистые. Сложение почвогрунта слоистое: слабо уплотненные, очень плотные слои,

 

чередующиеся с рыхло сыпучими и уплотненными. Уровень залегания грунтовых вод 14-20 м. Высота саксаула чёрного в начале пятого года жизни равнялась 250 см, ширина кроны - 230 см, толщина штамба - 6.3 см, на кусте насчитывалось 7 ветвей первого порядка. В результате раскопок было установлено, что корневая система саксаула чёрного в начале пятого года жизни проникала на глубину 14 м, достигая уровня капиллярного увлажнения грунтовыми водами (рис. 2).


 

Корневая система саксаула чёрного в начале пятого года жизни в пустыне Карнабчуль

Рис. 2. Корневая система саксаула чёрного в начале пятого года жизни в пустыне Карнабчуль. Условные обозначения: I - гранулометрический состав почвы, II - объемный вес почвы, 1 - тяжелый суглинок, 2 - средний суглинок, 3 -легкий суглинок, 4 - супесь, 5 -дресва с супесью, 6 - дресва с легким суглинком.

 

Главный корень 220 см, четко выражен и отвесно опускается вниз. Пройдя дресвяной горизонт он углубляется в плотный слой грунта примерно на 10 см и распадается на множество мелких корней. В верхнем метровом слое почвы расположено большое количество корней толщиной 0.1-0.8 см, отходящих в радиальном направлении.

 

До влажного слоя почвы, который находится на глубине 7-8 м, корни саксаула шли вниз отвесно, образуя в рыхлых участках плотных слоев почвогрунта клубки волосовидных тонких корешков. Во влажных слоях, где оптимальная влажность почвогрунта постоянная за счет грунтовых вод, корни разветвлялись в бок и располагались в горизонтальном направлении. Здесь очень много белых поглощающих корешков. Пробивая очень плотные слои грунта, напоминающие бетон, корни утончаются, изгибаются и сплющиваются. Нередко плотные слои грунта корни пробивали в сплетенном виде. Сплетение корней, как правило, бывает двойное, иногда тройное. Саксаул чёрный благодаря универсальному типу строения корневой системы, идущей очень глубоко в почвогрунт, помимо атмосферных осадков и конденсационной влаги, использует и капиллярно поднимающуюся влагу, а также грунтовые воды.

 Средообразующая функция саксаула чёрного

Средообразующая функция саксаула чёрного. Любое растение в процессе своей жизнедеятельности влияет на условия, в которых оно произрастает (Уранов, 1965; Работнов, 1983). Каждый вид растений по-особому влияет на среду. А.А. Уранов (1965) предложил назвать пространство, в пределах которого растение изменяет среду, «фитогенным полем». Согласно современным представлениям, фитогенное поле рассматривается как пространство, в пределах которого через изменение среды растение оказывает влияние на другие растения, находящиеся рядом (Черняева, Викторов, 2016).

Ниже излагаются результаты изучения изменений температуры воздуха и почвы, а также влажности почвы в зоне средообразующего влияния саксаула чёрного в пустыне Карнабчуль.

 Изменение температурного режима воздуха в зоне средообразующего влияния саксаула чёрного

Изменение температурного режима воздуха в зоне средообразующего влияния саксаула чёрного. Исследование показало, что саксаул чёрный оказывает существенное влияние на температуру воздуха: в дневное время, особенно в 13-16 ч., он снижает температуру под кроной и на кайме кроны, а ночью повышает ее в этих же зонах, уменьшая тем самым амплитуду колебаний.

Между кронами это влияние заметно ослаблено. Так, в 16:00 ч. разница между температурой воздуха под кроной саксаула чёрного и на полынно-эфемеровом пастбище (за пределами кроны) составляла в северном направлении - 4.0, в южном - 3.0°С.

Изменение температурного режима почвы

Изменение температурного режима почвы. Саксаул чёрный оказывал существенное влияние на температурный режим почвы. Полученные данные (рис. 3, 4) показывают, что общей закономерностью является повышение температуры в верхних слоях почвы в дневное время.

Температура поверхности почвы утром (7 ч.) и ночью (22:00, 1:00 и 4:00 ч.) с удалением от ствола изменялась незначительно. При этом разница между температурой на расстоянии от ствола 10 см и 290 см составляла в 7:00 ч. в северном направлении - 0.5°С, в южном - 1.5°С, а ночью (1:00 ч.) соответственно - 1.5°С, 1.0°С. Температура поверхности почвы под кроной ночью выше, а днем прогревание происходило медленнее, чем во внешней части кроны саксаула. Так, под кроной (на 10 см от ствола) температура поверхности почвы по сравнению с таковой на расстоянии 290 см от ствола ниже в 16:00 ч. в северном направлении на 3.0°С, в южном - на 4.5°С, по сравнению с контролем (открытые естественные полынно-эфемеровые пастбища).

 

Изменение температуры почвы при удалении от ствола саксаула черного

Рис. 3. Изменение температуры почвы при удалении от ствола саксаула черного (северная сторона).

 

Изменение температуры почвы при удалении от ствола саксаула черного

Рис. 4. Изменение температуры почвы при удалении от ствола саксаула черного (южная сторона).

 

Изменение влажности почвы под средообразующим влиянием саксаула чёрного

 Изменение влажности почвы под средообразующим влиянием саксаула чёрного. Изменение влажности почвы в пределах кроны саксаула чёрного в южном и северном направлениях носило примерно одинаковый характер: с удалением от ствола во всех направлениях наблюдалось понижение влажности почвы. В то же время степень влажности почвы по отношению к сторонам света неодинакова. Самая высокая влажность почвы наблюдалась на глубине 0-1, 1-5 см у основания ствола на северной части кроны дерева (9.8-10.5- %). В слоях 5-10, 10-20 см самая высокая влажность почвы у основания ствола на южной стороне (13.7-16.5%). По мере удаления от ствола высокая степень влажности почвы наблюдалась на северной стороне кроны саксаула чёрного.

 Продукционная функция чёрносаксауловых пастбищезащитных полос

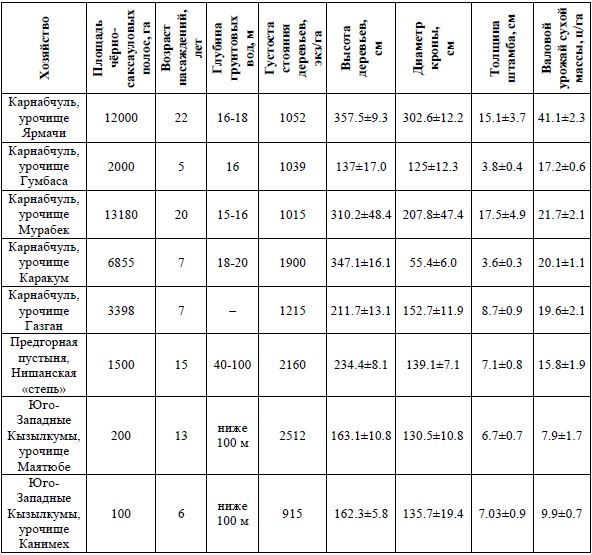
Продукционная функция чёрносаксауловых пастбищезащитных полос. Итоговый результат продукционной деятельности чёрносаксауловых пастбищезащитных полос складывается из двух составляющих: продукции кормовой массы самого саксаула чёрного и продукции природной полынно-эфемеровой растительности в зоне позитивного средообразующего влияния чёрносаксауловых полос. Популяция саксаула чёрного, как растения виолентной адаптивной стратегии, быстро и энергично растет благодаря мощно развитой и глубоко проникающей корневой системе, занимает большой объем почвенной среды и долго удерживает захваченную за собой территорию. При этом, экономно расходуя влагу на транспирацию, саксаул чёрный образует за единицу времени на единице площади значительно больше органического вещества, чем все другие виды пустынной растительности. Для установления кормовой производительности нами обследованы производственные насаждения чёрносаксауловых пастбищезащитных полос в хозяйствах, расположенных в трех экологически различающихся районах среднеазиатской пустыни: в районе пустыни Карнабчуль и Мубарекчуль, предгорной пустыне Нишанская «степь» и в группе хозяйств, находящихся в пустыне Юго-Западный Кызылкум. Все три группы хозяйств находятся в зоне южных пустынь, в климатическом отношении характеризуются общими чертами, присущими этому типу пустынь. Главные отличия в экологии этих трех районов заключаются в уровне залегания грунтовых вод, доступных для корней саксаула чёрного, и степени их минерализации, а также засоленности почвенной среды. В Карнабчуле уровень залегания грунтовых вод 14-18-20 м, грунтовые воды слабо засоленные или пресные. Уровень грунтовых вод в Нишанской «степи» - 12-16-20 м; здесь грунтовые воды соленые (20-25 г/л) и почвы засолены. В Юго-Западном Кызылкуме уровень залегания грунтовых вод очень глубок (100 м и глубже), почвы легкого гранулометрического состава и не засолены.

 

Результаты обследования производственных насаждений саксаула чёрного в пастбищезащитных полосах, расположенных в этих экологически различающихся районах среднеазиатской пустыни (табл. 2) показывают, что самые высокие показатели кормовой продуктивности саксаула чёрного в хозяйствах, находящихся в пустыне Карнабчуль, где самые лучшие условия водоснабжения (уровень залегания грунтовых вод находится на доступной глубине для корневой системы саксаула чёрного - 14-20 м). При этом грунтовые воды не соленые и почва не засолена. На втором месте по величине кормовой производительности чёрносаксауловых насаждений хозяйства, расположенные в предгорной пустыне Нишанская «степь». Самая низкая кормовая производительность у чёрносаксауловых насаждений наблюдалась в хозяйствах Юго-Западный Кызылкум, где экологические условия менее благоприятные, нежели в пустыне Карнабчуль и предгорной пустыне Нишанская «степь».

 

Таблица 2. Показатели роста и урожайности саксаула чёрного в производственных насаждениях пастбищезащитных полос в овцеводческих хозяйствах среднеазиатской пустыни.

 

Показатели роста и урожайности саксаула чёрного в производственных насаждениях пастбищезащитных полос в овцеводческих хозяйствах среднеазиатской пустыни


 

Вторая составляющая суммарной кормовой производительности чёрносаксауловых насаждений -это кормовая продуктивность естественной полынно-эфемеровой пастбищной растительности, произрастающей под средообразующим влиянием чёрносаксауловых полос.

 

Исследования, в которых изучали влияние чёрносаксауловой пастбищезащитной полосы на сопредельную полынно-эфемеровую растительность, позволили установить, что положительное действие саксауловых полос распространяется на расстояние 100 м от неё с подветренной стороны (табл. 3). Эфемеры в пастбищезащитной полосе получают буйное развитие за счет складывающихся более благоприятных гидротермических условий и хорошего обсеменения. В почве накапливается большой запас семян, принесенных ветром в зону действия полосы и задержанных ею. Пастбищезащитная полоса не только создает благоприятные мезотермические условия, а также является своеобразным барьером для задержания семян.

Учет кормового запаса, проведенный в конце лета (август), показал, что эфемеры летом отлично сохраняются в засохшем виде в чёрносаксауловой полосе. Находясь под защитой саксаула, они меньше подвержены ломке и осыпанию, чем на открытом пастбище (контрольный участок). Наряду с этим под влиянием саксаула чёрного на пастбище обогащается ботанический состав травостоя. В полосе получают обильное развитие однолетние солянки: солянка хрящецветная (Salsola sclerantha C.A. Mey), голохарис щетинистоволосый (Halocharis hispida (C.A. Mey.) Bunge). Особенно благоприятные условия создались в полосе для развития злакового разнотравья - костреца безостого (Bromopsis inermis Leyss.), овсяницы бороздчатой (Festuca valesiaca (Hask.) Gaudin, а также костенца зонтичного (Holosteum umbellatum L.).

Таким образом, кормовая производительность пастбищ, улучшенных пастбищезащитными чёрносаксауловыми полосами, складывается за счет двух-трехкратного увеличения урожая эфемеров и однолетних солянок в полосе, прибавки в урожае прилегающих к полосе природных полынно-эфемеровых пастбищ на 20-25% и урожая самого саксаула чёрного, достигающего, в зависимости от экологических условий и возраста растений, 8-21 ц/га сухой массы.

 

Таблица 3. Весенняя урожайность пастбища в чёрносаксауловой полосе и в зоне ее влияния (апрель).

 

Весенняя урожайность пастбища в чёрносаксауловой полосе и в зоне ее влияния


Заключение

В условиях южных среднеазиатских пустынь пастбищезащитные полосы из саксаула чёрного заметно повышают относительную влажность, изменяют температурный режим воздуха и почвы, снижают скорость ветра, задерживают снег и защищают почву от иссушения. В результате создаются более благоприятные гидротермические условия для роста и развития природной полынно-эфемеровой растительности в самой полосе и на прилегающих участках пастбищ. Видовой состав растений в чёрносаксауловой лесополосе становится более разнообразным, плотность эфемерового разнотравья выше, чем на открытом пастбище. Продукционная функция чёрносаксауловых полос складывается из двух составляющих: продукции кормовой массы самого саксаула чёрного и продукции естественных полынно-эфемеровых пастбищ в зоне положительного средообразующего влияния чёрносаксауловых полос. Чёрносаксауловые пастбищезащитные полосы как кормовые угодья целесообразно использовать в течение года двукратно: весной овцы выпасаются на эфемерах, повторно в осенне-зимний период на самом саксауле чёрном (ассимиляционные побеги и семена).

 

 Литература

АРИДНЫЕ ЭКОСИСТЕМЫ, 2019, том 25, № 2 (79) ПАСТБИЩЕЗАЩИТНЫЕ ЧЁРНОСАКСАУЛОВЫЕ ПОЛОСЫ В СРЕДНЕАЗИАТСКОЙ ПУСТЫНЕ: СРЕДООБРАЗУЮЩАЯ И ПРОДУКЦИОННАЯ ФУНКЦИИ Э.З. Шамсутдинова, Н.З. Шамсутдинов, И.О. Ибрагимов, В.Н. Нидюлин, З.Ш. Шамсутдинов

 

 

 

Комментариев нет:

Отправить комментарий